Results from Version 1.0.3

Here we compile results from version 1.0.3 of GLoBESfit. Click on any of the images to see an enlarged version.

Antineutrino Fluxes

U235 The predicted flux of antineutrinos from fissions of 235U. Shown are the ratios of the Huber-Mueller (HM; orange), ab initio (blue) and Hayen-Kostensalo-Severijns-Suhonen (HKSS; cyan) flux models relative to the central values of the HM predictions. Error bands are shown for the HM and HKSS predictions. Also shown are measurements of the 235U spectrum from Daya Bay (red) and PROSPECT (pink).
U238 The predicted flux of antineutrinos from fissions of 238U. Shown are the ratios of the HM (orange), ab initio (blue) and HKSS (cyan) flux models relative to the central values of the HM predictions. Error bands are shown for the HM and HKSS predictions.
Pu239 The predicted flux of antineutrinos from fissions of 239Pu. Shown are the ratios of the HM (orange), ab initio (blue) and HKSS (cyan) flux models relative to the central values of the HM predictions. Error bands are shown for the HM and HKSS predictions. Also shown are measurements of the 239Pu spectrum from Daya Bay (red).
Pu241 The predicted flux of antineutrinos from fissions of 241Pu. Shown are the ratios of the HM (orange), ab initio (blue) and HKSS (cyan) flux models relative to the central values of the HM predictions. Error bands are shown for the HM and HKSS predictions.

Data

Rates

Rate_Total The ratios R of the energy-integrated interaction rates measured at different experiments relative to three reactor antineutrino flux models: HM (orange), ab initio (blue) and HKSS (cyan). This figure shows the rates at experiments that do not track the interaction rate as a function of reactor core composition; the experiments are indicated on the vertical axis. The error bands shown are experimental only.
Rate_Evol The ratios R of the energy-integrated interaction rates measured at different experiments relative to three reactor antineutrino flux models: HM (orange), ab initio (blue) and HKSS (cyan). This figure shows the rates at experiments that track the interaction rate as a function of reactor core composition; the experiment and the corresponding average 235U fission fraction are indicated on the vertical axis. The error bands shown are experimental only.

Spectra

Bugey_3_Spec The ratio of the observed spectra of antineutrino interactions at Bugey-3 in the far (40 m) and near (15 m) detectors. The data are the black points and the prediction is the blue line. Statistical errors are shown as black error bars; systematic errors are shown as a blue band.
DANSS_Spec The ratio of the observed spectra of antineutrino interactions at DANSS in the lower (12.2 m) and upper (10.2 m) detectors. The data are the black points and the prediction is the purple line. Statistical errors are shown as black error bars; systematic errors are shown as a purple band.
DB_EH2_Spec The ratio of the observed spectra of antineutrino interactions at Daya Bay in EH2 and EH1. The data are the black points and the prediction is the red line. Statistical errors are shown as black error bars; systematic errors are shown as a red band.
DB_EH3_Spec The ratio of the observed spectra of antineutrino interactions at Daya Bay in EH3 and EH1. The data are the black points and the prediction is the red line. Statistical errors are shown as black error bars; systematic errors are shown as a red band.
DC_Spec The ratio of the observed spectra of antineutrino interactions at Double Chooz in the far and near detectors. The data are the black points and the prediction is the cyan line. Statistical errors are shown as black error bars; systematic errors are shown as a cyan band.
NEOS_Spec The ratio of the observed spectra of antineutrino interactions at NEOS and Daya Bay EH1. The data are the black points and the prediction is the purple line. Statistical errors are shown as black error bars; systematic errors are shown as a purple band.
RENO_Spec The ratio of the observed spectra of antineutrino interactions at RENO in the far and near detectors. The data are the black points and the prediction is the red line. Statistical errors are shown as black error bars; systematic errors are shown as a red band.

Results

Rates

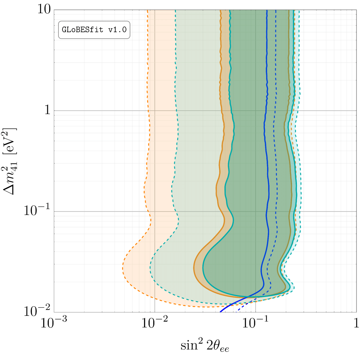
Rate_Combo The preferred regions of the sterile neutrino parameter space from our analysis of all rate experiments. The solid (dashed) contours represent the 95% (99%) confidence level contours. We separately show results for the comparision between data and the HM (orange), ab initio (blue) and HKSS (cyan) flux models.
Rate_Modern The preferred regions of the sterile neutrino parameter space from our analysis of rate experiments conducted after 2010. The solid (dashed) contours represent the 95% (99%) confidence level contours. We separately show results for the comparision between data and the HM (orange), ab initio (blue) and HKSS (cyan) flux models.
rescaling The results of an analysis in which the total 235U and 23pPu fluxes are rescaled (by factors r235 and r239, respectively) relative to their HM values instead of introducing a sterile neutrino. Red regions are our results for experiments that measure the average rate over the whole experiment; purple is for experiments that track the interaction rate as the composition of the core(s) changes; and gray is for all experiments. The dark (light) shading represents the 95% (99%) confidence level. Shown also are the values preferred by the HM (orange), ab initio (blue) and HKSS (cyan) flux models, as well as their 1- (dark) and 2-σ (light) regions.

Spectra

spectra_total The preferred regions of the sterile neutrino parameter space from our analysis of all spectrum experiments. The dark green, green and light green contours represent the 95%, 99% and 99.9% confidence level contours, respectively.
spectra_modern The preferred regions of the sterile neutrino parameter space from our analysis of spectrum experiments conducted after 2010. The dark green, green and light green contours represent the 95%, 99% and 99.9% confidence level contours, respectively.
neutrino4 A comparison between our results and recent findings from Neutrino-4. The green contours are our results for all spectrum experiments (see the figure above). The dark blue, blue and light blue contours are the 1-, 2- and 3-σ contours, respectively, from a recent update to Neutrino-4 data. The solid (dashed) black curve is the 90% (99%) confidence limit from a recent analysis of tritium-endpoint experiments.

5 MeV Bump

RENO_Spec The results from a Markov Chain Monte Carlo analysis of spectral data to determine the preference for a Gaussian feature at 5 MeV in the reactor antineutrino spectrum. This analysis uses data from Daya Bay and RENO. The overall goodness of fit is given by χ2/d.o.f. = 32.0/37 (p = 0.70). See arXiv:2005.01756 for more details.
RENO_Spec The results from a Markov Chain Monte Carlo analysis of spectral data to determine the preference for a Gaussian feature at 5 MeV in the reactor antineutrino spectrum. This analysis uses data from Daya Bay, PROSPECT and RENO. The overall goodness of fit is given by χ2/d.o.f. = 91.8/68 (p = 0.029). See arXiv:2005.01756 for more details.